DSS Image & Aperture/Beam
PA = N/A
Spectrum Preview
Launch Specview Applet from STScI
Retrieve Data
|
OBJECT INFORMATION
|
Published Values |
NED Cross-Identified Values |
| Name: | III Zw 035 | III Zw 035 |
| Position (J2000): | 01h44m30.50s | +17d06m05.00s | 01h44m30.50s | +17d06m05.00s |
| Origin: | N/A | | System: | Equatorial | | Type: | Decimal-Degrees | | Equinox: | J2000 |
| 26.127080 | 17.101390 | |
OBSERVATIONAL DETAILS
| Observed Region: | Integrated | Telescope Name: | Multiple |
| Band: | UV-Mid-IR | Instrument Name: | Multiple |
| Start Channel: | 102.8 Å | Disperser Type: | N/A |
| End Channel: | 349078.7 Å | Detector Type: | CCD |
| Channel Step: | 149.0 Å | Observation Mode: | N/A |
| Spectral Resolution: | N/A Å | Aperture/Beam Size: | N/A |
| Mean Resolving Power: | N/A | Extracted Region Size: | N/A |
| Seeing: | N/A | Position Angle of Slit: | N/A |
| Airmass: | N/A | Dimension of Spectrum: | 1 D |
| Integration Time: | N/A | Number of Pixels: | 2337 |
| Flux Units: | erg s-1 cm-2 Å-1 | Reference Frame: | Observed |
| Flux Calibration: | Yes | Sensitivity Level: | N/A |
| Absolute Calibration: | Yes | Baseline Subtraction: | Yes |
| Sky Subtraction: | Yes | Quality Flag(s): | 0 |
| Reference: | 2014ApJS..212...18B | | |
| Notes: | N/A | |
DSS Image & Aperture/Beam
PA = 90 deg
Spectrum Preview
Launch Specview Applet from STScI
Retrieve Data
|
OBJECT INFORMATION
|
Published Values |
NED Cross-Identified Values |
| Name: | III Zw 035 | III Zw 035 |
| Position (J2000): | 20h55m04.80s | +16d56m02.00s | 01h44m30.50s | +17d06m05.00s |
| Origin: | Published-Value | | System: | Equatorial | | Type: | Decimal-Degrees | | Equinox: | J2000 |
| 313.770000 | 16.933889 | |
OBSERVATIONAL DETAILS
| Observed Region: | Integrated/Drift-Scan | Telescope Name: | 2.3m Bok Telescope |
| Band: | Optical | Instrument Name: | B&C spectrograph |
| Start Channel: | 3678.9 Å | Disperser Type: | Blazed-Grating |
| End Channel: | 6948.6 Å | Detector Type: | CCD |
| Channel Step: | 2.8 Å | Observation Mode: | Long-Slit |
| Spectral Resolution: | 8.0 Å | Aperture/Beam Size: | 2.5 arcsec × 200.0 arcsec |
| Mean Resolving Power: | 664.0 | Extracted Region Size: | 50.00 arcsec × 40.00 arcsec |
| Seeing: | 1.40 arcsec | Position Angle of Slit: | 90 deg |
| Airmass: | N/A | Dimension of Spectrum: | 1 D |
| Integration Time: | 1800 sec | Number of Pixels: | 1190 |
| Flux Units: | erg s-1 cm-2 Å-1 | Reference Frame: | Observed |
| Flux Calibration: | Yes | Sensitivity Level: | N/A |
| Absolute Calibration: | Yes | Baseline Subtraction: | Yes |
| Sky Subtraction: | Yes | Quality Flag(s): | 0 |
| Reference: | 2006ApJS..164...81M | | |
| Notes: | N/A | |
DSS Image & Aperture/Beam
PA = 90 deg
Spectrum Preview
Launch Specview Applet from STScI
Retrieve Data
|
OBJECT INFORMATION
|
Published Values |
NED Cross-Identified Values |
| Name: | III Zw 035 | III Zw 035 |
| Position (J2000): | 01h44m30.70s | +17d06m09.00s | 01h44m30.50s | +17d06m05.00s |
| Origin: | Published-Value | | System: | Equatorial | | Type: | Sexagecimal | | Equinox: | J2000 |
| 01h44m30.7s | +17d06m09s | |
OBSERVATIONAL DETAILS
| Observed Region: | Integrated | Telescope Name: | ISO |
| Band: | Far-IR | Instrument Name: | LWS |
| Start Channel: | 43.1 μm | Disperser Type: | Blazed-Grating |
| End Channel: | 180.4 μm | Detector Type: | CCD |
| Channel Step: | 0.1 μm | Observation Mode: | Aperture |
| Spectral Resolution: | 8.0 μm | Aperture/Beam Size: | 75.0 arcsec |
| Mean Resolving Power: | 140000.0 | Extracted Region Size: | N/A |
| Seeing: | 1.40 arcsec | Position Angle of Slit: | 90 deg |
| Airmass: | N/A | Dimension of Spectrum: | 1 D |
| Integration Time: | 1800 sec | Number of Pixels: | 1192 |
| Flux Units: | W cm-2 um-1 | Reference Frame: | Observed |
| Flux Calibration: | Yes | Sensitivity Level: | N/A |
| Absolute Calibration: | Yes | Baseline Subtraction: | Yes |
| Sky Subtraction: | Yes | Quality Flag(s): | 0 |
| Reference: | 2008ApJS..178..280B | | |
| Notes: | LWS L02 LINE observing mode; one of the many raster observations; more observations are available | |
DSS Image & Aperture/Beam
PA = 0 deg
Spectrum Preview
Launch Specview Applet from STScI
Retrieve Data
|
OBJECT INFORMATION
|
Published Values |
NED Cross-Identified Values |
| Name: | III Zw 035 | III Zw 035 |
| Position (J2000): | 01h44m30.52s | +17d06m08.86s | 01h44m30.50s | +17d06m05.00s |
| Origin: | FITS-Header | | System: | Equatorial | | Type: | Decimal-Degrees | | Equinox: | J2000 |
| 26.127185 | 17.102461 | |
OBSERVATIONAL DETAILS
| Observed Region: | Nucleus | Telescope Name: | Herschel |
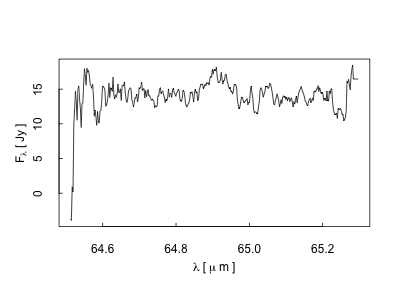
| Band (Line): | Far-IR([OI] 63μm) | Instrument Name: | PACS-IFU |
| Start Channel: | 64.5 μm | Disperser Type: | Blazed-Grating |
| End Channel: | 65.3 μm | Detector Type: | Photoconductor Arrays |
| Channel Step: | 2.2e-03 μm | Observation Mode: | Integral-Field |
| Spectral Resolution: | 2.0e-02 μm | Aperture/Beam Size: | 47.0 arcsec × 47.0 arcsec |
| Mean Resolving Power: | 3250.0 | Extracted Region Size: | N/A |
| Seeing: | N/A | Position Angle of Slit: | 0 deg |
| Airmass: | N/A | Dimension of Spectrum: | 1 D |
| Integration Time: | N/A | Number of Pixels: | 356 |
| Flux Units: | Jy | Reference Frame: | Rest |
| Flux Calibration: | Yes | Sensitivity Level: | N/A |
| Absolute Calibration: | Yes | Baseline Subtraction: | Yes |
| Sky Subtraction: | Yes | Quality Flag(s): | 0 |
| Reference: | 2016ApJS..226...19F | | |
| Notes: | N/A | |
DSS Image & Aperture/Beam
PA = 0 deg
Spectrum Preview
Launch Specview Applet from STScI
Retrieve Data
|
OBJECT INFORMATION
|
Published Values |
NED Cross-Identified Values |
| Name: | III Zw 035 | III Zw 035 |
| Position (J2000): | 01h44m30.52s | +17d06m08.86s | 01h44m30.50s | +17d06m05.00s |
| Origin: | FITS-Header | | System: | Equatorial | | Type: | Decimal-Degrees | | Equinox: | J2000 |
| 26.127185 | 17.102461 | |
OBSERVATIONAL DETAILS
| Observed Region: | Nucleus | Telescope Name: | Herschel |
| Band (Line): | Far-IR([OI] 63μm) | Instrument Name: | PACS-IFU |
| Start Channel: | 64.5 μm | Disperser Type: | Blazed-Grating |
| End Channel: | 65.3 μm | Detector Type: | Photoconductor Arrays |
| Channel Step: | 2.2e-03 μm | Observation Mode: | Integral-Field |
| Spectral Resolution: | 2.0e-02 μm | Aperture/Beam Size: | 28.2 arcsec × 28.2 arcsec |
| Mean Resolving Power: | 3250.0 | Extracted Region Size: | N/A |
| Seeing: | N/A | Position Angle of Slit: | 0 deg |
| Airmass: | N/A | Dimension of Spectrum: | 1 D |
| Integration Time: | N/A | Number of Pixels: | 356 |
| Flux Units: | Jy | Reference Frame: | Rest |
| Flux Calibration: | Yes | Sensitivity Level: | N/A |
| Absolute Calibration: | Yes | Baseline Subtraction: | Yes |
| Sky Subtraction: | Yes | Quality Flag(s): | 0 |
| Reference: | 2016ApJS..226...19F | | |
| Notes: | N/A | |
DSS Image & Aperture/Beam
PA = 0 deg
Spectrum Preview
Launch Specview Applet from STScI
Retrieve Data
|
OBJECT INFORMATION
|
Published Values |
NED Cross-Identified Values |
| Name: | III Zw 035 | III Zw 035 |
| Position (J2000): | 01h44m30.52s | +17d06m08.86s | 01h44m30.50s | +17d06m05.00s |
| Origin: | FITS-Header | | System: | Equatorial | | Type: | Decimal-Degrees | | Equinox: | J2000 |
| 26.127185 | 17.102461 | |
OBSERVATIONAL DETAILS
| Observed Region: | Nucleus | Telescope Name: | Herschel |
| Band (Line): | Far-IR([OI] 63μm) | Instrument Name: | PACS-IFU |
| Start Channel: | 64.5 μm | Disperser Type: | Blazed-Grating |
| End Channel: | 65.3 μm | Detector Type: | Photoconductor Arrays |
| Channel Step: | 2.2e-03 μm | Observation Mode: | Integral-Field |
| Spectral Resolution: | 2.0e-02 μm | Aperture/Beam Size: | 9.4 arcsec × 9.4 arcsec |
| Mean Resolving Power: | 3250.0 | Extracted Region Size: | N/A |
| Seeing: | N/A | Position Angle of Slit: | 0 deg |
| Airmass: | N/A | Dimension of Spectrum: | 1 D |
| Integration Time: | N/A | Number of Pixels: | 356 |
| Flux Units: | Jy | Reference Frame: | Rest |
| Flux Calibration: | Yes | Sensitivity Level: | N/A |
| Absolute Calibration: | Yes | Baseline Subtraction: | Yes |
| Sky Subtraction: | Yes | Quality Flag(s): | 0 |
| Reference: | 2016ApJS..226...19F | | |
| Notes: | N/A | |
DSS Image & Aperture/Beam
PA = 0 deg
Spectrum Preview
Launch Specview Applet from STScI
Retrieve Data
|
OBJECT INFORMATION
|
Published Values |
NED Cross-Identified Values |
| Name: | III Zw 035 | III Zw 035 |
| Position (J2000): | 01h44m30.52s | +17d06m08.86s | 01h44m30.50s | +17d06m05.00s |
| Origin: | FITS-Header | | System: | Equatorial | | Type: | Decimal-Degrees | | Equinox: | J2000 |
| 26.127185 | 17.102461 | |
OBSERVATIONAL DETAILS
| Observed Region: | Nucleus | Telescope Name: | Herschel |
| Band (Line): | Far-IR([OIII] 88μm) | Instrument Name: | PACS-IFU |
| Start Channel: | 90.2 μm | Disperser Type: | Blazed-Grating |
| End Channel: | 91.4 μm | Detector Type: | Photoconductor Arrays |
| Channel Step: | 4.5e-03 μm | Observation Mode: | Integral-Field |
| Spectral Resolution: | 3.7e-02 μm | Aperture/Beam Size: | 28.2 arcsec × 28.2 arcsec |
| Mean Resolving Power: | 2450.0 | Extracted Region Size: | N/A |
| Seeing: | N/A | Position Angle of Slit: | 0 deg |
| Airmass: | N/A | Dimension of Spectrum: | 1 D |
| Integration Time: | N/A | Number of Pixels: | 264 |
| Flux Units: | Jy | Reference Frame: | Rest |
| Flux Calibration: | Yes | Sensitivity Level: | N/A |
| Absolute Calibration: | Yes | Baseline Subtraction: | Yes |
| Sky Subtraction: | Yes | Quality Flag(s): | 0 |
| Reference: | 2016ApJS..226...19F | | |
| Notes: | N/A | |
DSS Image & Aperture/Beam
PA = 0 deg
Spectrum Preview
Launch Specview Applet from STScI
Retrieve Data
|
OBJECT INFORMATION
|
Published Values |
NED Cross-Identified Values |
| Name: | III Zw 035 | III Zw 035 |
| Position (J2000): | 01h44m30.52s | +17d06m08.86s | 01h44m30.50s | +17d06m05.00s |
| Origin: | FITS-Header | | System: | Equatorial | | Type: | Decimal-Degrees | | Equinox: | J2000 |
| 26.127185 | 17.102461 | |
OBSERVATIONAL DETAILS
| Observed Region: | Nucleus | Telescope Name: | Herschel |
| Band (Line): | Far-IR([OIII] 88μm) | Instrument Name: | PACS-IFU |
| Start Channel: | 90.2 μm | Disperser Type: | Blazed-Grating |
| End Channel: | 91.4 μm | Detector Type: | Photoconductor Arrays |
| Channel Step: | 4.5e-03 μm | Observation Mode: | Integral-Field |
| Spectral Resolution: | 3.7e-02 μm | Aperture/Beam Size: | 9.4 arcsec × 9.4 arcsec |
| Mean Resolving Power: | 2450.0 | Extracted Region Size: | N/A |
| Seeing: | N/A | Position Angle of Slit: | 0 deg |
| Airmass: | N/A | Dimension of Spectrum: | 1 D |
| Integration Time: | N/A | Number of Pixels: | 264 |
| Flux Units: | Jy | Reference Frame: | Rest |
| Flux Calibration: | Yes | Sensitivity Level: | N/A |
| Absolute Calibration: | Yes | Baseline Subtraction: | Yes |
| Sky Subtraction: | Yes | Quality Flag(s): | 0 |
| Reference: | 2016ApJS..226...19F | | |
| Notes: | N/A | |
DSS Image & Aperture/Beam
PA = 0 deg
Spectrum Preview
Launch Specview Applet from STScI
Retrieve Data
|
OBJECT INFORMATION
|
Published Values |
NED Cross-Identified Values |
| Name: | III Zw 035 | III Zw 035 |
| Position (J2000): | 01h44m30.52s | +17d06m08.86s | 01h44m30.50s | +17d06m05.00s |
| Origin: | FITS-Header | | System: | Equatorial | | Type: | Decimal-Degrees | | Equinox: | J2000 |
| 26.127185 | 17.102461 | |
OBSERVATIONAL DETAILS
| Observed Region: | Nucleus | Telescope Name: | Herschel |
| Band (Line): | Far-IR([OIII] 88μm) | Instrument Name: | PACS-IFU |
| Start Channel: | 90.2 μm | Disperser Type: | Blazed-Grating |
| End Channel: | 91.4 μm | Detector Type: | Photoconductor Arrays |
| Channel Step: | 4.5e-03 μm | Observation Mode: | Integral-Field |
| Spectral Resolution: | 3.7e-02 μm | Aperture/Beam Size: | 47.0 arcsec × 47.0 arcsec |
| Mean Resolving Power: | 2450.0 | Extracted Region Size: | N/A |
| Seeing: | N/A | Position Angle of Slit: | 0 deg |
| Airmass: | N/A | Dimension of Spectrum: | 1 D |
| Integration Time: | N/A | Number of Pixels: | 264 |
| Flux Units: | Jy | Reference Frame: | Rest |
| Flux Calibration: | Yes | Sensitivity Level: | N/A |
| Absolute Calibration: | Yes | Baseline Subtraction: | Yes |
| Sky Subtraction: | Yes | Quality Flag(s): | 0 |
| Reference: | 2016ApJS..226...19F | | |
| Notes: | N/A | |
DSS Image & Aperture/Beam
PA = 0 deg
Spectrum Preview
Launch Specview Applet from STScI
Retrieve Data
|
OBJECT INFORMATION
|
Published Values |
NED Cross-Identified Values |
| Name: | III Zw 035 | III Zw 035 |
| Position (J2000): | 01h44m30.52s | +17d06m08.86s | 01h44m30.50s | +17d06m05.00s |
| Origin: | FITS-Header | | System: | Equatorial | | Type: | Decimal-Degrees | | Equinox: | J2000 |
| 26.127185 | 17.102461 | |
OBSERVATIONAL DETAILS
| Observed Region: | Nucleus | Telescope Name: | Herschel |
| Band (Line): | Far-IR([CII] 158μm) | Instrument Name: | PACS-IFU |
| Start Channel: | 160.9 μm | Disperser Type: | Blazed-Grating |
| End Channel: | 163.6 μm | Detector Type: | Photoconductor Arrays |
| Channel Step: | 1.6e-02 μm | Observation Mode: | Integral-Field |
| Spectral Resolution: | 0.1 μm | Aperture/Beam Size: | 28.2 arcsec × 28.2 arcsec |
| Mean Resolving Power: | 1290.0 | Extracted Region Size: | N/A |
| Seeing: | N/A | Position Angle of Slit: | 0 deg |
| Airmass: | N/A | Dimension of Spectrum: | 1 D |
| Integration Time: | N/A | Number of Pixels: | 176 |
| Flux Units: | Jy | Reference Frame: | Rest |
| Flux Calibration: | Yes | Sensitivity Level: | N/A |
| Absolute Calibration: | Yes | Baseline Subtraction: | Yes |
| Sky Subtraction: | Yes | Quality Flag(s): | 0 |
| Reference: | 2016ApJS..226...19F | | |
| Notes: | N/A | |
DSS Image & Aperture/Beam
PA = 0 deg
Spectrum Preview
Launch Specview Applet from STScI
Retrieve Data
|
OBJECT INFORMATION
|
Published Values |
NED Cross-Identified Values |
| Name: | III Zw 035 | III Zw 035 |
| Position (J2000): | 01h44m30.52s | +17d06m08.86s | 01h44m30.50s | +17d06m05.00s |
| Origin: | FITS-Header | | System: | Equatorial | | Type: | Decimal-Degrees | | Equinox: | J2000 |
| 26.127185 | 17.102461 | |
OBSERVATIONAL DETAILS
| Observed Region: | Nucleus | Telescope Name: | Herschel |
| Band (Line): | Far-IR([CII] 158μm) | Instrument Name: | PACS-IFU |
| Start Channel: | 160.9 μm | Disperser Type: | Blazed-Grating |
| End Channel: | 163.6 μm | Detector Type: | Photoconductor Arrays |
| Channel Step: | 1.6e-02 μm | Observation Mode: | Integral-Field |
| Spectral Resolution: | 0.1 μm | Aperture/Beam Size: | 9.4 arcsec × 9.4 arcsec |
| Mean Resolving Power: | 1290.0 | Extracted Region Size: | N/A |
| Seeing: | N/A | Position Angle of Slit: | 0 deg |
| Airmass: | N/A | Dimension of Spectrum: | 1 D |
| Integration Time: | N/A | Number of Pixels: | 176 |
| Flux Units: | Jy | Reference Frame: | Rest |
| Flux Calibration: | Yes | Sensitivity Level: | N/A |
| Absolute Calibration: | Yes | Baseline Subtraction: | Yes |
| Sky Subtraction: | Yes | Quality Flag(s): | 0 |
| Reference: | 2016ApJS..226...19F | | |
| Notes: | N/A | |
DSS Image & Aperture/Beam
PA = 0 deg
Spectrum Preview
Launch Specview Applet from STScI
Retrieve Data
|
OBJECT INFORMATION
|
Published Values |
NED Cross-Identified Values |
| Name: | III Zw 035 | III Zw 035 |
| Position (J2000): | 01h44m30.52s | +17d06m08.86s | 01h44m30.50s | +17d06m05.00s |
| Origin: | FITS-Header | | System: | Equatorial | | Type: | Decimal-Degrees | | Equinox: | J2000 |
| 26.127185 | 17.102461 | |
OBSERVATIONAL DETAILS
| Observed Region: | Nucleus | Telescope Name: | Herschel |
| Band (Line): | Far-IR([CII] 158μm) | Instrument Name: | PACS-IFU |
| Start Channel: | 160.9 μm | Disperser Type: | Blazed-Grating |
| End Channel: | 163.6 μm | Detector Type: | Photoconductor Arrays |
| Channel Step: | 1.6e-02 μm | Observation Mode: | Integral-Field |
| Spectral Resolution: | 0.1 μm | Aperture/Beam Size: | 47.0 arcsec × 47.0 arcsec |
| Mean Resolving Power: | 1290.0 | Extracted Region Size: | N/A |
| Seeing: | N/A | Position Angle of Slit: | 0 deg |
| Airmass: | N/A | Dimension of Spectrum: | 1 D |
| Integration Time: | N/A | Number of Pixels: | 176 |
| Flux Units: | Jy | Reference Frame: | Rest |
| Flux Calibration: | Yes | Sensitivity Level: | N/A |
| Absolute Calibration: | Yes | Baseline Subtraction: | Yes |
| Sky Subtraction: | Yes | Quality Flag(s): | 0 |
| Reference: | 2016ApJS..226...19F | | |
| Notes: | N/A | |
DSS Image & Aperture/Beam
PA = N/A
Spectrum Preview
Launch Specview Applet from STScI
Retrieve Data
|
OBJECT INFORMATION
|
Published Values |
NED Cross-Identified Values |
| Name: | III Zw 035 | III Zw 035 |
| Position (J2000): | 01h44m30.50s | +17d06m05.00s | 01h44m30.50s | +17d06m05.00s |
| Origin: | Published-Value | | System: | Equatorial | | Type: | Decimal-Degrees | | Equinox: | J2000 |
| 26.127080 | 17.101390 | |
OBSERVATIONAL DETAILS
| Observed Region: | Integrated | Telescope Name: | Arecibo 305m |
| Band (Line): | Radio(H I) | Instrument Name: | Line-feed system |
| Start Channel: | 7257.3 km s-1 | Disperser Type: | N/A |
| End Channel: | 9141.3 km s-1 | Detector Type: | Correlator |
| Channel Step: | 2.8 km s-1 | Observation Mode: | Beam |
| Spectral Resolution: | 8.3 km s-1 | Aperture/Beam Size: | 198.0 arcsec × 1320.0 arcsec |
| Mean Resolving Power: | 37109.0 | Extracted Region Size: | N/A |
| Seeing: | N/A | Position Angle of Slit: | N/A |
| Airmass: | N/A | Dimension of Spectrum: | 1 D |
| Integration Time: | N/A | Number of Pixels: | 677 |
| Flux Units: | mJy | Reference Frame: | Observed |
| Flux Calibration: | Yes | Sensitivity Level: | N/A |
| Absolute Calibration: | Yes | Baseline Subtraction: | Yes |
| Sky Subtraction: | Yes | Quality Flag(s): | N/A |
| Reference: | 1988ApJ...335..104M | | |
| Notes: | N/A | |